حماية الشبكة الكهربائية

التساوي بين مركبات التسلسل الموجب والسالب في أنظمة القوى الكهربائية: التحليل والأثر في حالة أعطال الخط إلى الخط

المقدمة
في أنظمة القوى الكهربائية، يُستخدم تحليل مركبات التسلسل (Sequence Components) لفصل الجهود والتيارات غير المتوازنة إلى مركبات متناظرة تُسهّل تشخيص الأعطال. تتكون هذه المركبات من:

  1. مركبة التسلسل الموجب (Positive Sequence)
  2. مركبة التسلسل السالب (Negative Sequence)
  3. مركبة التسلسل الصفري (Zero Sequence)

عند حدوث أعطال كهربائية، تظهر علاقات محددة بين هذه المركبات، ومن بين الحالات الخاصة تساوي مركبتي التسلسل الموجب والسالب مع اختلاف الإشارة. تُعد هذه الحالة نموذجية في أعطال الخط إلى الخط (Line-to-Line Fault)، والتي يُستكشف فيها دور المركبة الصفرية أيضًا.


التحليل النظري للحالة

  1. علاقة المركبات في أعطال الخط إلى الخط
    في حالة عطل الخط إلى الخط (على سبيل المثال، بين الطورين B و C في نظام ثلاثي الأطوار)، تُحسب المركبات التناظرية كالتالي:
  • المركبة السالبة = – المركبة الموجبة
    I2​=−I1​
  • المركبة الصفرية = صفر
    I0​=0
    حيث:
  • ( I1 ): تيار التسلسل الموجب.
  • ( I2 ): تيار التسلسل السالب.
  • ( I0 ): تيار التسلسل الصفري.
  1. التمييز بين أنواع الأعطال
  • يُعد اختفاء المركبة الصفرية (Zero Sequence Absence) سمة مميزة لأعطال الخط إلى الخط، حيث لا يتضمن هذا العطل اتصالاً بالأرض.
  • على العكس، في أعطال الخط إلى الأرض (Line-to-Ground)، تظهر المركبة الصفرية بقيم غير صفرية.

الأساس الرياضي
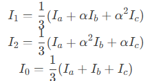
تُشتق العلاقة بين المركبات من تحويل المكونات التناظرية (Symmetrical Components Transformation). لنظام التيارات في أعطال الخط إلى الخط:
Ia = 0
Ib = -Ic
Ic = I(fault)
بتطبيق تحويل المكونات التناظرية:


حيث ( alpha ) عامل دوران زاوي

بالتعويض بقيم ( I_a ), ( I_b ), و ( I_c ):

  • ( I0 = 0 ) (لا مسار للأرض).
  • ( I1 = -I2 ) (علاقة عكسية).

التطبيقات العملية

  1. كشف الأعطال وحمايتها
  • تُستخدم هذه العلاقة في تصميم أجهزة حماية المركبة السالبة (Negative Sequence Relays)، التي تميز أعطال الخط إلى الخط عن غيرها.
  • غياب ( I0 ) يُساعد على استبعاد الأعطال المتعلقة بالأرض.
  1. التحليل في أنظمة غير متوازنة
  • في الأنظمة ذات الأحمال غير المتوازنة، قد تظهر ( I2 ) دون وجود عطل، لكن تساويها مع ( I1 ) (بالإشارة المعاكسة) يشير إلى عطل واضح.

الاستثناءات والحدود

  • أعطال الخط إلى الخط مع الأرض (Line-to-Line-to-Ground Fault): هنا تظهر ( I_0 ) بقيم غير صفرية، مما يُميزها عن الحالة السابقة.
  • التشوهات التوافقية (Harmonics): قد تؤثر على دقة قياس المركبات التناظرية.

الخاتمة
يُعد تساوي مركبتي التسلسل الموجب والسالب (مع اختلاف الإشارة) وانعدام المركبة الصفرية خاصيةً حرجةً لتشخيص أعطال الخط إلى الخط بدقة. هذا التحليل ليس أساسيًا فقط لفهم سلوك الأنظمة أثناء الأعطال، بل أيضًا لتصميم أنظمة حماية فعالة تقلل من وقت العزل وتحسن موثوقية الشبكة. تُبرز هذه الحالة أهمية تحليل المركبات التناظرية في هندسة القوى الكهربائية.

المراجع

  • J. Lewis Blackburn, Symmetrical Components for Power Systems Engineering.
  • Paul M. Anderson, Analysis of Faulted Power Systems.
  • IEEE Standards for Protective Relaying (IEEE C37.113).

زر الذهاب إلى الأعلى